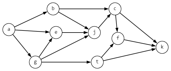
На рисунке представлена схема дорог, связывающих города . По каждой дороге можно двигаться только в одном направлении, указанном стрелкой.
Сколько существует различных путей из города в город
?

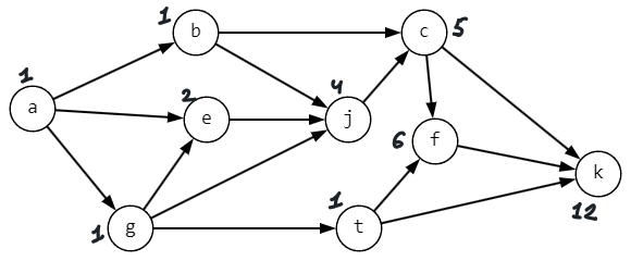
Количество путей до вершины равно сумме количеств путей из всех вершин, направленных в исходную вершину.
Смотрите на картинку:

Ответ: 12
