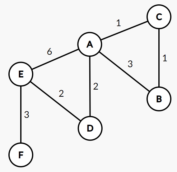
Между населёнными пунктами A, B, C, D, E, F построены дороги, протяжённость которых (в километрах) приведена в таблице.
| A | B | C | D | E | F | |
| A | 3 | 1 | 2 | 6 | ||
| B | 3 | 1 | ||||
| C | 1 | 1 | ||||
| D | 2 | 2 | ||||
| E | 6 | 2 | 3 | |||
| F | 3 | |||||
Определите длину кратчайшего пути между пунктами B и F. Передвигаться можно только по дорогам, протяжённость которых указана в таблице. Каждый пункт можно посетить только один раз.

Рассмотрим различные варианты маршрута из пункта B в пункт F:
Получаем, что длина кратчайшего пути равна 9.
Ответ: 9
